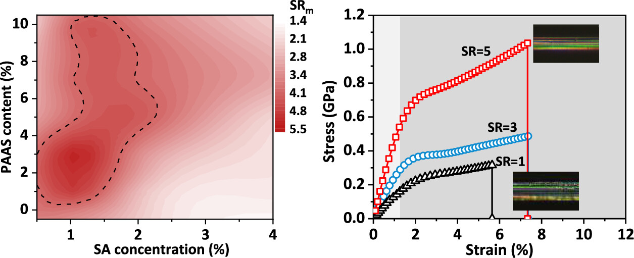
1. Zhanpo Han, Jixiao Hao, Cong Du*, Hao Yan, Hua Yuan, Kaiwen Li, Lidan Wang, Zhen Xu*, Yeqiang Tan*, Superior Strong and Stiff Alginate Fibers by Entanglement-Enhanced Stretching. Macromolecules, 2023, 56, 16, 6305–6315.

2. Xiaoyu Zhang, Jinhuan Wang, Dongqi Hu, Wei Du, Chuanxin Hou, Huiyu Jiang, Yuting Wei, Xiao Liu, Fuyi Jiang, Jianchao Sun*, Hua Yuan*, Xiaoyu Huang*. High-performance lithium metal batteries based on composite solid-state electrolytes with high ceramic content. Energy Storage Materials, 2024, 65, 103089.

3. Yunmeng Li, Xin Liu, Zewei Ren, Jianjun Luo, Chi Zhang, Changyong (Chase) Cao , Hua Yuan*, Yaokun Pang*.Marine Biomaterial-based Triboelectric Nanogenerators: Insights and Applications. Nano Energy, 2024, 119, 109046.

4. Nian Wang, Yuting Wei, Shuang Yu, Wenchao Zhang, Xiaoyu Huang, Binbin Fan*, Hua Yuan*, Yeqiang Tan*, A flexible PEO-based polymer electrolyte with cross-linked network for high-voltage all solid-state lithium-ion battery, Journal of Materials Science & Technology, 2023, doi: https://doi.org/10.1016/j.jmst.2023.10.005

5. Hao Yan#, Dongqi Hu#, Yifeng Dai, Xiaoyu Zhang, Hua Yuan*, Weidi Li, Xiaoyu Huang, Yeqiang Tan*. Self-assembly of carbon nanomaterials onto carbon fiber to improve the interfacial properties of epoxy composites. Journal of Materials Science & Technology, 2023, 161, 44-49.

6. Yunmeng Li, Shoue Chen, Hao Yan, Haowen Jiang, Jianjun Luo, Chi Zhang, Yaokun Pang*, Yeqiang Tan*. Biodegradable, transparent, and antibacterial alginate-based triboelectric nanogenerator for energy harvesting and tactile sensing. Chemical Engineering Journal, 2023, 143572.

7. Zhende Li, Xiaoyan Zhang, Guangzhen Li, Fengjin Han, Dongqi Hu, Xiaoyu Huang, Hua Yuan*, Yeqiang Tan*. Hollow Co/CoO/Carbon nanofibers promoted PMS decomposition for the degradation of Rhodamine B. Journal of Materials Science & Technology, 2023, 157, 120-129.

8. Chunguang Ren, Zhengshuo Wang, Hanlin Ou*, Tianjie Wang, Zhipeng Zhao, Yuting Wei, Hua Yuan, Yeqiang Tan*, Wang Zhang Yuan*. Multi-Responsive Afterglows from Aqueous Processable Amorphous Polysaccharide Films. Small Methods, 2023, 2300243.

9. Yaokun Pang, Yuhui Fang, Jiaji Su, Huigang Wang, Yeqiang Tan*, and Changyong (Chase) Cao*. Soft Ball-Based Triboelectric-Electromagnetic Hybrid Nanogenerators for Wave Energy Harvesting. Advanced Materials Technologies, 2023, 220124.

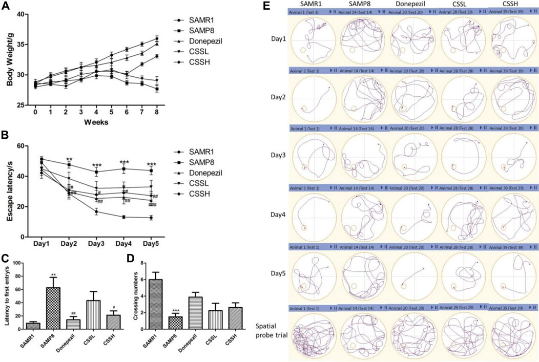
10. Zhiyue Li#, Qiang Zeng# , Shengquan Hu, Zhanyan Liu, Shuting Wang, Yu Jin, Limin Li, Hanlin Ou*, Zhengzhi Wu*. Chaihu Shugan San ameliorated cognitive deficits through regulating gut microbiota in senescence-accelerated mouse prone 8. Frontiers in Pharmacology, 2023, 14, 1181226.

11. Hanlin Ou*, Fan Huang*, Bo Shen*, Zhenbo Gao*, Feihe Ma*, Devleena Samanta*. Editorial: Recent advances in the design of novel polymer nanoagents for cancer theranostics. Frontiers in Chemistry, 2023, 11, 1216173.
12. Yang, Jinzhu, Wei Sun, Junping Ju*, Yeqiang Tan, and Hua Yuan*. Facile Fabrication of Superwetting PVDF Membrane for Highly Efficient Oil/Water Separation. Polymers, 2023, 15 (2), 327. https://doi.org/10.3390/polym15020327
